登录| 注册    
收藏  点赞 

基因文库

某种生物全部DNA片段的克隆总体。用重组DNA技术将某一生物细胞的总DNA或染色体DNA的所有片段随机连接到适当的载体上,通过在相应的宿主细胞中扩增而形成各个片段的无性繁殖系(克隆)。同样可构建生物的线粒体DNA或叶绿体DNA基因文库。基因文库是20世纪70年代早期重组DNA技术的一个发展。

某种生物全部DNA片段的克隆总体。用重组DNA技术将某一生物细胞的总DNA或染色体DNA的所有片段随机连接到适当的载体上,通过在相应的宿主细胞中扩增而形成各个片段的无性繁殖系(克隆)。同样可构建生物的线粒体DNA或叶绿体DNA基因文库。基因文库是20世纪70年代早期重组DNA技术的一个发展。采用这项技术,从1974年起相继建立了大肠杆菌酵母菌、果蝇、鸡、兔、小鼠、人以及水稻等的染色体基因文库和一些生物线粒体叶绿体的基因文库。

原理

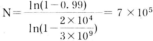
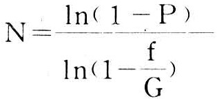
一个完整的基因文库所应包含的克隆数目与该生物基因组的大小和被克隆片段平均长度相关。各种生物的单倍体基因组的DNA含量的差别十分显著。原核生物(如大肠杆菌)全部DNA只含编码3000到4000种不同基因产物的信息量,构建一个原核生物基因文库所需要的克隆数目较少。真核生物的基因组要大得多,如人类基因组所含信息量可编码基因产物的数目可达106之多,要求的克隆数目要大得多。另一方面,被克隆的DNA片段的平均长度越大,所需的克隆数目越少,反之,如果被克隆的DNA片段平均长度较小,为保证将所有DNA片段都克隆到文库中,需要增加克隆数目。1975年克拉克(L.Clarke)和卡蓬(J.Carbon)提出一个统计学公式用来计算一基因文库所应包含的克隆数目。

基因文库

式中 P是在建成的基因文库中含有某一特定基因的期望概率,由研究者根据需要而定,f是基因文库中被克隆的外源DNA片段的平均长度,根据生物基因组大小和所用载体插入DNA片段长度的容纳范围而定;G是该生物基因组大小,用道尔顿或碱基对表示;N是基因文库所应包括的克隆数目。例如在构建某一哺乳动物基因文库时,设基因组大小是3×109碱基,若要求基因文库包括任一基因的概率为99%,被克隆的外源DNA片段平均长度为2×104碱基对,则

基因文库

即需要700000个克隆。下表列出不同生物的基因文库当期望值(P)为0.99时所需要的克隆数目。

构建过程

主要需要以下几个步骤:①制备外源DNA片段。应具有粘性末端,切点随机性又高,使任一基因能被克隆,采用核酸限制性内切酶酶解法,能产生粘性末端,便以与载体连接,但切点随机性较差;采用机械剪切法,随机性高,但不产生粘性末端,不便与载体连接;为了解决上述问题,目前在构建真核细胞基因文库时,常采用核酸限制性内切酶部分酶解DNA的方法;②制备载体DNA。常用来构建基因文库的载体有质粒、噬菌体和粘性质粒,三种载体对外源DNA可插入片段长度的容纳范围不同,其最大容量分别为15kb、25kb和45kb;原核生物叶绿体线粒体的基因组较小,可选用质粒PBR322等作载体,而真核生物染色体基因组很大,为了保证能得完整的基因,使基因文库的克隆数尽可能少,以便于操作,而又能包含所有DNA片段,通常选用经过改建的噬菌体(如λcharon系列和λEMBL系列)DNA或粘性质粒作为载体;③将外源DNA片段通过连接酶的作用连接到载体DNA上,产生重组DNA分子;④转化或转导。用质粒作为载体的重组DNA分子可以通过转化引进细胞,但以λ噬菌体DNA作载体的重组DNA分子直接经转染引入细胞的效率较低;1977年斯顿伯格(N.Sternberg)和霍恩(B.Hohn)等发明有效的λ噬菌体DNA体外包装技术,即将重组DNA分子先行离体包装到噬菌体外壳中,然后再通过感染把重组DNA分子引入宿主细胞,其效率比转染高几十到几百倍;⑤筛选。筛选方法有原位分子杂交法、直接的表型选择法和免疫化学方法等等,但最常用的是原位分子杂交法(见分子杂交技术)。

不同生物基因文库的克隆数

应用

建立和使用基因文库是分离特定基因,特别是分离高等真核生物基因的有效手段。例如人类单倍体基因组DNA含量约为3×109碱基对。某一特定基因,特别是单拷贝基因占整个基因组的比例很小,用直接从细胞中提取分离的方法获得某一特定基因的机率很小。在基因文库中,不同的DNA片段都分别在不同的克隆中被扩增,大大提高了筛选出来的可能性。特定基因的分离纯化对研究基因的一级结构,基因的调节机制,基因的体外、体内表达,以及生产出对科学、医学或工业都极其需要的生物分子(如蛋白质、激素、干扰素等)都具有极其重要的意义。基因文库还可以应用于对个体发育的研究,对基因进化的研究以及基因定位工作等。