登录| 注册    
收藏  点赞 

上位性效应

除加性效应和显性效应外不同位点的基因相互影响引起的效应。一般任何数量性状的基因型值(G)可表示为G=m+D+H+Ⅰ,其中m为群体平均数,D为加性效应,H为显性效应,Ⅰ表示上位性效应,环境影响未考虑。上位性效应本身,可分为三类:①不同位点的加性之间的互作,如d×d;②加性与显性的互作,如d×h;③显性与显性的互作

加性效应显性效应外不同位点的基因相互影响引起的效应。一般任何数量性状的基因型值(G)可表示为G=m+D+H+Ⅰ,其中m为群体平均数,D为加性效应,H为显性效应,Ⅰ表示上位性效应,环境影响未考虑。上位性效应本身,可分为三类:①不同位点的加性之间的互作,如d×d;②加性与显性的互作,如d×h;③显性与显性的互作,如h×h。一般把所有上位性效应放在一起考虑。贝特森(W.Betason)1907年提出基因互作一词的原意是指不同基因位点相互作用能产生新的表型。数量遗传学上的上位性效应,强调群体多基因效应的总和。前者指个体水平上的基因互作,后者指群体水平上的互作,彼此有联系而不相同。

在研究基因的加性和显性效应时,只考虑从一个位点着手。但分析上位性效应时,最少需有两个位点同时考虑。例如与兔子毛色有关的两个基因位点C与B的互作,在有C基因存在时,含B的兔毛为黑色,含bb的兔毛为棕色;当为cc时,不管B位点的基因怎样,全为白色。可见,B基因的作用,因C位点的基因不同而不同,C基因的作用也因基因型有B或bb而不同。假定黑毛为2级、棕毛为1级、白毛为0级;B的频率p为0.7,b的频率q为0.3,C为0.6,c为0.4,B与C均为完全显性。在含C的兔中,由bb变为B-时,毛色由棕变黑,色度增加1单位。在cc兔子中,B无效应。在B B与bb之间的表型值平均差为(0.84×1)+(0.16×0)=0.7644+0.0756=0.84(2dB)。同理,C C与cc之间的表型值平均差为:(0.91×2)+(0.09×1)=1.91(2dc)(见表)。

上位性效应计算

以离群体平均数的偏差表示的纯合和杂合完全显性的基因型值等于〔2q(d-ph)+d(q-p)+h(1-2pq)〕,简化2dq2,纯合隐性的为-2dp(1+q)(见显性效应加性效应)。如是各基因型值为纯合和杂合的B的GB=0.84×0.09=0.0756,bb的GB=0.84×(-0.91)=-0.7644。纯合和杂合的C的Gc=1.91×0.16=0.3056;cc的Gc=1.91×(-0.84)=-1.6044。B与C的上位效应(IBc)=0.3956-0.3812=0.0144。

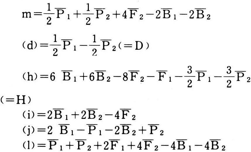
在有K个位点的非等位基因互作时,根据马瑟(K.Mather)的符号,以(d)代表基因的总加性效应,以(h)代表基因的总显性效应,以(i)、(j)和(Ⅰ)分别代表上述三种总的互作效应。当已取得(P1的平均数,余类推)、等世代平均数时,则按下式可求得各估计值:

上位性效应

在特殊配合力中,有一部分是由显性互作的上位性效应造成的。格里芬(B.Griffing)1956年指出,在人工选择的性状与自然选择有冲突时,能发生一种互相抵消的作用。上位效应也会起到类似自然选择所起的这种作用,使人工选择的效果降低。除了基因平均效应外,加性与加性的互作效应也是重要的。但如果遗传力是从选择进展的第一代、亲子或半同胞协方差所求得,则其中的上位效应不能忽视,因为它会使长期选择的预期值估计严重偏高。像粮食、牛奶产量和鸡的产卵数之类的复杂性状,无法运用这样的基因频率和效应来分析。一般认为,虽然这类复杂性状也是由有关基因的加性、显性和上位性效应的总和所构成的,但上位性效应很小。