登录| 注册    
收藏  点赞 

接触角

液滴在物体表面上所形成的半球形液面与物体表面之间的夹角。通常用通过球面周边某一观察点的半球截面上的切线对于物体表面的夹角(θ)来表示(图1a)。测定药液在植物叶片或昆虫体表面上的接触角,可借以判断药液的沾附能力,并作为选择适用助剂的依据。 图1 接触角 形成原理液滴同物体表面接触后,形成液/固/气三相交接体系。在此体系中形成3种力的平衡:γ1、γ2、γ3。

液滴在物体表面上所形成的半球形液面与物体表面之间的夹角。通常用通过球面周边某一观察点的半球截面上的切线对于物体表面的夹角(θ)来表示(图1a)。测定药液在植物叶片或昆虫体表面上的接触角,可借以判断药液的沾附能力,并作为选择适用助剂的依据。

图1 接触角

形成原理

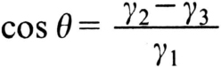
液滴同物体表面接触后,形成液/固/气三相交接体系。在此体系中形成3种力的平衡:γ1γ2γ3γ1是液滴的表面张力(或液体与气体之间的界面张力),γ2是固体与气体之间的界面张力,γ3是固体与液体之间的界面张力。γ1γ3的合力使液滴产生收缩力,从而使液滴的接触角趋于增大,而γ2则使液滴容易在固体表面上展开而形成较小的接触角。当药液的表面张力小而与物体表面的亲和力较大时,则药液容易在物体表面上发生湿润和展开,使接触角变小。在γ2γ1γ3的合力平衡时,接触角便确定,即

γ2=γ3+γ1cosθ

接触角

所以,减小γ1γ3均可有利于形成较小的接触角。往药液中加入适量的润湿剂便可降低γ1γ3

种类

有前进角与后退角两种。①前进接触角(或推进接触角,advancing contact angle,θA)。把药液滴加到物体表面上时所形成的接触角,或物体表面发生倾斜时液滴流动,在液滴流动的前沿所形成的接触角(图1b)。②后退接触角(或退缩接触角,receding contact angle,θR)。把已沉积在表面上的液滴吸去一部分,液滴的周边退缩后所形成的接触角,或物体表面发生倾斜时液滴流动后,在后缘部所形成的接触角(图1b)。前进接触角可用于表达药液的展开能力并用以计算展开系数;后退接触角用于表达药液的润湿能力。此外,因为植物体或昆虫体的任何部分都没有绝对的水平面,研究液滴的前进接触角和后退接触角对于液滴的持留能力和稳定性可提供分析依据。一种不湿润的液体其前进接触角和后退接触角均很大,因此在表面上处于不稳定状态而很容易发生滚落。在表1中的(θA-θR)差值越小即表示液滴越不稳定。

表1 液体在不同表面上的接触角

接触角与展开系数

接触角大小表示液体对物体表面的亲合能力和展开能力的大小。接触角大表示亲合力和展开能力弱。反之,则表示亲合力和展开能力强,药液容易沾附在物体表面上,而且具有较强的覆盖能力。液滴展开后所形成的液斑之面积与展开前液滴的投影面积之比值称为展开系数(spreading coefficient,F),

F=D/d

式中 D为液斑直径;d为展开前的液滴之投影直径。展开系数与接触角呈负相关(表2)。展开系数大表明液滴在表面上的覆盖面积大,这一特性对于低容量和超低容量喷雾方法至关重要。在每公顷10升的超低容量喷雾情况下,选用250微米的雾滴细度时,若其接触角为90°则每单位表面面积内被液滴所湿润的面积之比例(称为覆盖比)为0.0095,如使接触角缩小为35°,则同样细度同样喷雾量的药液,覆盖比提高到0.025,可显著提高药剂的防治效果。

表2 接触角与展开系数的相关性

▲1 1991年江泽民总书记接见天津农药总厂厂长张英杰

▲2 1958年8月毛泽东主席视察天津,听取天津人民农药厂潘爱田工程师汇报植物激素萘乙酸的生产和应用情况

▲3 光稳定性拟除虫菊酯类农药发明人、英国农药化学家艾列奥特(M.Elliott),1990年在沈阳国际农药会议上宣读论文

▲4 全国劳动模范、五一劳动奖章获得者,北京市东北郊粮库工人朱宝琨(1936~1989)用自制的大型筒仓环流熏蒸机进行粮食熏蒸作业

▲5 农业部部长何康(右二),1986年率中国农业代表团访问英国,在英国农业国际博览会上参观卜内门(ICI)公司的麦田杀菌剂试验基地

▲6 中国农药登记管理机构——农业部农药检定所

▲7 联合国粮农组织(FAO)在中国举办亚太地区农药安全有效使用培训班(1991,桂林)

▲8 中国第四届农药登记评审委员会第一次全体会议(1992.10.12~14,北京昌平)

▲9 中国农药登记证和部分管理文件

▲10 全国农药技术交流会(1985,西安)

▲11 胡秉方教授正在指导博士研究生

▲12 韩熹莱教授和他的博士生

▲13 中国农药学者参观日本住友公司农药实验室

▲14 与外国专家进行农药学术交流

▲15 农药专业田间教学

▲16 农药专业课堂教学

▲17 亚洲玉米螟信息素生物合成 研究人员准备将氘代信息素前体施于信息素腺体(右下箭头所指)上

▲18 农药有机合成的光化学反应

▲19 农药合成中试车间(江苏农药研究所)

▲20 昆虫信息素化学合成 中国科学院动物研究所刘孟英和她的助手正在工作

▲21 农药实验室合成(北京农业大学有机合成实验室)

▲22 农药生产中的防火措施

▲23 点滴法(家蝇)

▲24 点滴法(粘虫)

▲25 小白鼠毒性试验

▲26 浸渍法(叶螨)

▲27 粘虫饲养

▲28 杀菌剂抑菌圈测定法

▲29 显微镜下观察病原菌侵染

▲30 杀虫剂温室筛选试验(黄瓜)

▲31 除草剂室内(玉米)生物测定

▲32 除草剂室内(水稻)生物测定

▲33 除草剂温室(水稻)筛选试验(处理)

▲34 杀菌剂温室筛选试验(接种)

▲35 杀菌剂温室(水稻)筛选试验

▲36 移栽稻田小区处理(苄嘧磺隆+异丙甲草胺)

▲37 秧田化学除草小区试验(云南)

▲38 田间小区试验的标准作业状况(英国)

▲39 玉米地小区药效试验(SL-950)

▲40 麦草净田间药效专家集体评价

▲41 苏云金杆菌(BT剂)防治烟芽夜蛾

▲42 抗真菌抗生素——农抗120防治葡萄白粉病

▲43 复方硫菌灵拌种,对大豆根腐病的药效

▲44 白僵菌感染的松毛虫

▲45 百草枯在果园中的除草效果

▲46 核多角体病毒防治棉花棉铃虫(河南封丘)

测定方法

有两种:①投影法。利用显微投影原理,把显微镜调整到卧式,载有液滴的小型平台置于物镜前方的光路中,使液滴的侧影通过显微镜而投射在置于目镜前方的屏幕上,并对液滴与物体表面的接触部分对焦。用量角仪直接测量接触角,或量取球面半径和弦长、球面顶端离物体表面的高,计算出接触角。②接触角测量仪测定法。是根据投影法的原理而设计的专用仪器,投影部分改为在镜筒目镜中观察,在镜筒中设计有游动标尺,可根据接触角的实际情况调节游标而直接读出接触角。测定接触角时的技术关键是要防止液滴蒸发,否则所测得的往往是后退接触角。在接触角测定仪中已设计了防止蒸发的装置(图2)。

图2 接触角测量仪