登录| 注册    
收藏  点赞 

咪唑啉酮除草剂

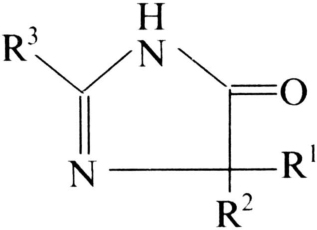
以咪唑啉酮为基本化学结构的一类高效广谱选择性除草剂。化学结构式: 咪唑啉酮除草剂 R1、R2为烷基,R3为苯环、杂环等。为美国氰胺公司在80年代初开发。简史咪唑啉酮类化合物的合成与筛选开始于1975年。

以咪唑啉酮为基本化学结构的一类高效广谱选择性除草剂。化学结构式:

咪唑啉酮除草剂

R1、R2为烷基,R3为苯环、杂环等。为美国氰胺公司在80年代初开发。

简史

咪唑啉酮类化合物的合成与筛选开始于1975年。首先发现苯邻二甲酰亚胺具有除草活性,在此基础上,合成出一系列苯环取代的衍生物,从中发现具有植物生长调节活性的AC-94377;在此类化合物的多次合成分离过程中发现了具有除草活性的化合物,从而为咪唑啉酮除草剂的开发奠定了基础。1982年劳斯(M.Los)等第一次报道了此类除草剂,1983年奥尔维克(P.L.Orwick)等报道了AC-252925及席尼尔(D.L.Shaner)等报道了AC-252214,从而使咪唑啉酮类化合物成为开发除草剂新品种的活跃领域。

品种与特性

咪唑啉酮除草剂的结构特点是:①咪唑啉酮环;②咪唑啉酮环上含一个甲基与异丙基;③咪唑啉酮环与邻位含一个羧基的芳环相连。根据上述特点,现已开发出用途各异的品种(见表)。

咪唑啉酮除草剂主要品种

杀草机制

咪唑啉酮除草剂通过植物根与茎叶吸收,在木质部与韧皮部传导,积累于分生组织。茎叶处理后,敏感杂草立即停止生长,经2~4周全株死亡;土壤处理后,根吸收向上传导至杂草顶端的分生组织,使其停止生长并坏死。某些杂草虽能发芽出苗,但植株达2.5~5厘米时生长便停止,而后死亡。

咪唑啉酮除草剂主要抑制植物体内乙酰乳酸合成酶(ALS)的活性,造成支链氨基酸缬氨酸、异亮氨酸与亮氨酸生物合成受抑制,导致细胞有丝分裂停滞于间隙(G1与G2)阶段,从而使植物停止生长而死亡,这种作用特性与磺酰脲除草剂非常近似。

选择原理

不同植物对咪唑啉酮除草剂代谢速度快慢是其选择性强弱的主要原因。通常,抗药性植物吸收药剂后,在体内迅速将其代谢为无活性化合物,如用Imazaquin进行叶面处理后,其在体内的半衰期为:大豆4.4天,花生5.3天,苘麻12天,苍耳30天,钝叶决明12.7天,扭曲山马蝗9.6天。此类除草剂系弱酸,如普杀特、Imazaquin在土壤中的吸附作用小,但在酸性土中吸附作用较强,在土壤中的横向与垂直移动有限,不易水解,土壤中需氧性微生物能缓慢降解此类除草剂,但在嫌气性条件下则不发生降解。在温暖、湿润条件下,消失迅速;在冷凉、干燥条件下,消失缓慢,持效期长。施于土壤表面时,光解是其消失的主要原因。

应用

咪唑啉酮除草剂使用范围比较广泛。

Imazaquin主要用于大豆田进行播前混土处理、播种后、出苗前土表处理以及出苗后早期应用,每公顷用量70~280克,可防治阔叶与禾本科杂草,其中以苍耳与反枝苋最敏感。此外,还可用于烟草、咖啡、苜蓿、豌豆、豇豆等作物。苗后处理时,加入非离子型表面活性剂能够提高其除草效果。施药后,应慎重安排下茬作物。普杀特用于大豆田防治一年生与多年生阔叶与禾本科杂草,可在大豆播种前、出苗前以及出苗后应用,每公顷用量30~300克。此外,其他豆科作物如苜蓿、三叶草、花生、豇豆等也具有较强的耐药性。通常,在大豆田采用正常用药量时,对后茬作物小麦等无害。

Imazapyr系灭生性除草剂,每公顷用量500~2000克,防治一年生与多年生草本与木本植物,用于铁路、公路、工厂、仓库、河岸、水渠及林业除草,可进行土壤处理及出苗后茎叶喷雾,茎叶处理时,宜加入0.25%非离子型表面活性剂。本剂防治灌木与落叶树特效,进行涂抹或注射可防止落叶树树桩萌发,每个树桩用水剂0.125~1.0克。每公顷用量为1~4千克时,在土壤中的持效期可达1年,在高温及土壤含水量大的条件下,持效期缩短。

Assert是防治麦田野燕麦、看麦娘、卷茎蓼以及其他一些重要杂草的高效除草剂,每公顷用量300~450克。