登录| 注册    
收藏  点赞 

药效试验统计分析

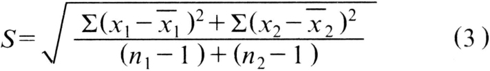
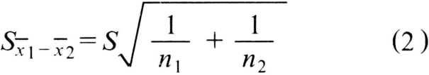
multiplerange test)。t值检验对两个样本差异进行的显著性测验。t值为两个平均数的差数与此差数的标准误之比。比较两个药样平均数差异是否显著,判断其差异是由于生物间存在差异或试验误差所造成,还是药样存在本质差异,则需计算t值来判断。公式为: 药效试验统计分析 式中 和分别为两个药样的平均数;为平均数差数的标准误

在正确的试验设计和准确原始数据前提下,采用数学方法研究生物现象的数量变化,揭示其固有规律。它可将复杂的数据化繁为简,也可分辨开偶然因素的作用与必然规律的结果,能正确估计误差大小,从而判断处理间的差异,究竟是本质的,还是偶然误差所引起,以便得出科学的结论,提供更加准确、可靠的科学依据。当出现两个或两个以上药样有差异时,就需要进行差异显著性检验。常用的有t值、F值检验和新复极差检验(new multiplerange test)。

t值检验

对两个样本差异进行的显著性测验。t值为两个平均数的差数与此差数的标准误之比。比较两个药样平均数差异是否显著,判断其差异是由于生物间存在差异或试验误差所造成,还是药样存在本质差异,则需计算t值来判断。公式为:

药效试验统计分析

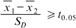
式中 分别为两个药样的平均数;为平均数差数的标准误,用下式求得:

药效试验统计分析

式中 n1n2分别为两个药样的调查次数,S为标准差。

式中 x1x2分别为两个药样调查的变量数值。

决定t值是否显著,即两个药样间差异是否真实,应按自由度查t值表。当实际求得的t值小于5%概率水平的t值时,可认为两个药样的差异不显著,是由试验误差造成。否则差异显著,两个药样存在本质的差异。

F值检验

对多个样本差异进行的显著性检验。又称变异量分析法。是将不同的变异原因一一分出后,剩余的部分为机误,以此机误变量与其他变异原因的变量相比较,以判断各种变异原因的显著性,达到5%显著标准的F值,记为F*,达到1%显著的,记为F**。现举例说明:用氰戊菊酯、乐果、乐氰合剂、辛氰合剂、氧乐氰合剂和辛溴合剂防治甘蓝上的桃蚜试验,每个处理重复三次,采用随机区组排列,以种群减退率为药效标准。(表1)

药效试验统计分析

表1 几种合剂防治甘蓝上桃蚜的种群减退率

在总变异中,分析出两种已知变异原因,即药剂间的变异和药内变异,其余部分为试验误差的变异。分析方法是先求平方和及自由度,再求变异量。(表2)

表2 药效试验变异量分析表

以每一因素的变异量与试验误差变异量比较,来决定因素的变异是否真实,即是否呈显著性,用F值测验。

F=药内变异量/误差变异量=68.23/21.26=3.21

F=药间变异量/误差变异量=442.29/21.26=20.80

决定药内变异量是否显著时,需查F值表,根据分子自由度为2、分母自由度为10,查5%显著标准的F值为4.10,得到这个F值的机会是每100次中只有5次。实际计算的F=3.21,比4.10小,故知机会很大,即药内差异不显著。以同法决定药间差异是否 显著,根据n1=5,n2=10,查F值表得,5%显著标准的F值=3.33,1%显著标准的F值为5.64,实际计算的F值=20.80,比3.33大,表明差异显著,也比1%显著标准的F值(5.64)大,表明药间差异非常显著。即不同药剂防治甘蓝上桃蚜的效果有本质的差异,但究竟哪一种药剂差异显著呢?则需进一步用/检验来分析比较,即可明确各个药剂间差异是否显著。方法是先将各药剂的种群减退率按大小顺序排列,编成比较表(表3)。

表3 不同药剂防治甘蓝上桃蚜的种群减退率(%)

表3:互比差数第1直行分别为第1药样与第2、3、4、5、6个药样比较的平均种群减退率的差数;第2直行分别为第2个药样与第3、4、5、6个药样比较的平均种群减退率的差数,以下类推。可以把这些比较的差数看作和非配对的样本平均数差数一样,用非配对f检验法检验差异是否显著。

已知在非配对情况下:

差异显著

差异非常显著

如果上面两式左右两边各乘上SD,便得下列不等式:

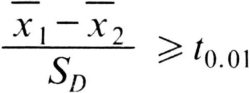
SD 差异显著

SD 差异非常显著

表3中15个互比差数,实际上都是两个非配对样本平均数的差数,即,把t0.05SD计算出来,就可判断上述差数是否达到显著水平。采用下式求SD

n1=n2=3

式中 S是变异量分析表中误差变异量,

药效试验统计分析

根据误差自由度(10),查t值表而得

t0.05=2.228 t0.01=3.169

t0.05SD=8.38 t0.01SD=11.92

根据计算结果,凡是表3中互比差数≥8.38的,表明差异显著。凡是差数≥11.92的,表明差异非常显著。分析结果看出,辛氰合剂与乐氰合剂,氰戊菊酯,氧乐氰合剂比较差异不显著,但与辛溴合剂比较差异显著,与乐果比较差异非常显著,表明上述五种药剂的药效都比乐果好,其顺序是辛氰合剂>乐氰合剂>氰戊菊酯>氧乐氰合剂>辛溴合剂>乐果。

新复极差检验

一种对多个处理的平均数之间进行差异显著性测定的简便方法。系1955年邓肯(D.B.Duncan)在其1951年提出的多重比较测定(multiple comparisons test)方法的基础上发展起来的。多重比较测定是以每一个处理的平均数同其他任一处理的平均数进行差异显著性测定。计算步骤较繁,一个试验中的处理数超过10个时,计算就很费时。F检验只能测定各个样本平均数彼此间差异显著性的总情况,不能对某两个具体样本平均数之间的差异显著性加以准确判断。在经F值检验获得有差异显著性的结论后,还要对某两个样本平均数的差异显著性进行t值检验,因此研究多个样本时就会使测定工作十分繁杂。而新复极差检验能按比较的平均数个数的多少,使用一套显著极差范围的差异显著标准,对按大小顺序排列的一系列平均数彼此间的差异性进行检验。现以下例说明。

施用六种除草剂防除稻田杂草,均按田间小区试验方法进行,每个处理重复五次,最后以稻谷产量为药效标准。(表4)

表4 不同除草剂防除杂草的稻谷产量表(g/m2

①求总体变量(S2

药效试验统计分析

式中

药效试验统计分析

②求各处理平均数的标准差(

药效试验统计分析

式中 n=重复次数=5

③查学生式显著变程表得各项的显著变程值。根据误差自由度,按5%和1%的两个显著标准查出各平均数间的显著变程值(SSR值)。各平均数从大到小顺序排列的变程数依次为2~6的SSR值(表5)。

表5 学生式显著变程SSR值

④求最小显著变程值(LSR)

以各变程数的学生式显著变程值乘以各处理平均数的标准差得最小显著变程值(表6):

药效试验统计分析

表6 最小显著变程LSR值

将不同除草剂处理的平均产量顺序排列(从大至小或从小至大均可),依次进行差异显著性检验。按顺序从最大数减最小数开始,再以最大数减次小数,……,最大数减次大数;然后再以次大数减最小数,次大数减次小数、依次相减,直到次小数减最小数为止。相减所得的差数如大于最小显著变程LSR值,则表示差异显著或极显著,否则为不显著。其差异显著性检验数据列入表6中。

表6 六种除草剂防除稻田杂草对水稻产量差异显著性检验结果表

表中产量旁附有相同字母表明差异不显著,否则为显著。小写英文字母示P0.05显著水平,大写字母为P0.01显著水平。

从表6看出,按P0.05显著标准检验,以恶草酮处理的水稻平均产量最高,同其他5种除草剂比较,其差数都超过最小显著变程LSR值,表明差异显著。其次是丁草胺处理的平均产量,同禾草特、敌稗和除草醚处理的产量比较差异显著,但同禾草丹的产量比较差异不显著。禾草丹处理的平均产量同敌稗和除草醚处理的比较差异显著,但同禾草特处理的比较,差异不显著。禾草特处理的平均产量同除草醚的比较,差异显著,但同敌稗比较差异不显著。敌稗处理的平均产量同除草醚的比较差异不显著。