登录| 注册    
收藏  点赞 

风能

空气流动时的动能。由于地球表面各处吸收太阳辐射能不均匀,引起空气密度不等和地球自转的结果产生空气流动而形成风。埃及和中国利用风能已有3000年以上历史,主要用于船舶航行,农副产品加工和提水动力;14世纪荷兰人利用风车排除沼泽地积水和灌溉莱茵河三角洲;19世纪丹麦风力机工业较发达;1870年低速风力机首先出现于美国,以后为各国所采用。风能的利用是由风速和风向决定的。

空气流动时的动能。由于地球表面各处吸收太阳辐射能不均匀,引起空气密度不等和地球自转的结果产生空气流动而形成风。埃及和中国利用风能已有3000年以上历史,主要用于船舶航行,农副产品加工和提水动力;14世纪荷兰人利用风车排除沼泽地积水和灌溉莱茵河三角洲;19世纪丹麦风力机工业较发达;1870年低速风力机首先出现于美国,以后为各国所采用。

风能的利用是由风速和风向决定的。利用的困难是不稳定和能量密度低。风速不仅有年、月、日的变化,在短时间内也会产生脉动。这一固有的缺点,加上大型风力机成本高,在一段时间内无法和廉价的矿化燃料竞争。20世纪70年代石油危机后,风能利用又重新得到重视,随着空气动力学、材料工艺、控制计算技术的不断发展,大型风力发电机相继问世,为在风能丰富地区的风力发电开拓了前景。

中国风能分布

按平均风能密度、有效风能密度、可利用小时数等而绘制的中国10米高度处的风能潜力,如图1、图2所示。

由图1、图2可将全国分为风能丰富、较丰富、可利用和贫乏四个区,其指标如表所示。

中国风能分区及占全国面积百分比

图1 中国风能有效能量密度分布图(瓦/米2

中国风能丰富区主要分布在东南沿海、内蒙阴山山脉以北的广大地区、松花江下游地区、山东半岛和辽东半岛的沿海,以及内陆的一些山口峡谷地区,如新疆的达板城、阿拉山口等,仅占全国面积的8%。较丰富区分布在东部沿海、三北(东北、华北、西北)地区的北部以及青藏高原的北部,约占全国面积的18%。可利用区的面积约占全国总面积的50%,这一地区在冬半年风速较大,夏半年风速较小,亦可称为季节利用区,分布在辽河下游、黄河、淮河流域、长江上下游以及广东、广西沿海、青藏高原东北部和南部、南疆大部和大兴安岭地区。贫乏区以四川为中心向外扩展,包括陕西南部、湖北和湖南的西部、云贵高原的一部分,以及广西、广东、福建的山地,雅鲁藏布江河谷和塔里木盆地。

风的能量计算

按动能公式计算如下:

风能

式中 W为风能(瓦);m为空气的质量(千克);v为气流速度(米/秒);ρ为空气密度(千克/米3),A为气流垂直流过的截面积(米2)。

单位时间内垂直通过单位截面积A的风能称为风能密度,将公式(1)除以面积A,即得风能密度:

风能

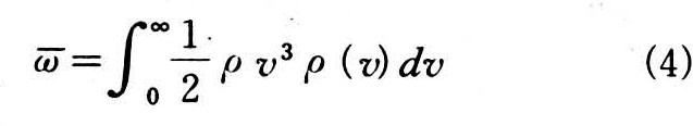
一定时间内的平均风能密度按下式计算:

风能

式中为平均风能密度;v为对应t时刻的风速;T为总的时间周期;ρ为空气密度。

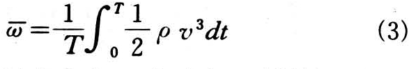
当已知在T时间内风速v的概率分布ρ(v),平均风能密度可根据下式求得:

风能

风力机启动风速和可利用的最大风速(切断风速)之间的风速称为有效风速,一般利用范围为3~20米/秒。

风速随地形高度有很大的变化。在近地处,这种变化遵循指数公式,即:

风能

式中 v1为参考高度Z1高度处的风速;%为Zn高度的风速;α为指数,其值随着地面粗糙度的增加而增大,一般在0.10~0.33。

一般风速是指在10米高度处的数值,根据这一高度的风速,便可推求任何高度的风速。由于风能大小与风速的三次方成正比,如果风速增加一倍,风能就是原来的8倍,因此适当提高风力机塔架的高度是增加风力机输出功率最廉价的方法。

图2 中国全年风速3~20米/秒累积小时数分布图