分析,分析其群体从补充量(R)的补充年龄为t时开始,到该世代消失的最大年龄t止,由于生长使重量增加以及由于自然死亡和捕捞死亡使其数量减少之间的变化关系
渔业资源评估和管理的主要理论模式之一。亦称分析模式、单位补充量产量模式。此模式用数学分析的方法对种群的生长、补充、自然死亡和捕捞死亡等几个因子进行综合分析,找出平衡产量与各因子之间的函数关系,为合理利用和管理渔业资源提供定量依据。由于这类模式所估算的是产量相对值(即单位补充产量Y/R),对补充量比较稳定或波动的群体均适用。这类模式的主要代表有以下几种。
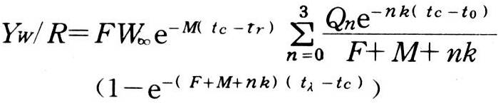
Beverton-Holt单位补充量产量模式 简称B-H模式。是贝弗顿和霍尔特(R.J.H.Beverton;S.J.Holt,1954、1957)在对北海海鲽群体进行多年研究分析的基础上提出来的。他们假设:群体的一个世代在一生中所提供的产量与一年中各个年龄组所提供的产量相等,即假设各年份的补充量相等,并将冯·贝塔兰菲(Von Bertalanffy)生长方程引入模式。这样就可以从一个世代出发,推导、建立数学模式,用于某一年的数量分析,分析其群体从补充量(R)的补充年龄为t时开始,到该世代消失的最大年龄t止,由于生长使重量增加以及由于自然死亡和捕捞死亡使其数量减少之间的变化关系,其数学表达式为:
动态综合模式
式中Y为产量;R为补充量;F为捕捞死亡系数;t为开捕年龄;t为进入渔场的年龄,或称补充年龄;t为最大年龄;M为自然死亡系数;W∞为最大体重;k为生长方程参数;t为理论上开始生长的年龄;当n=0时,Q0=1;n=1时,Q1=-3;n=2时,Q2=3;n=3时,Q3=-1。
图1 在t一定的条件下,Y/R对F的变化曲线
从上式可看出,此模式不需要多年的捕捞力量和渔获量统计资料,但要求有较充分的群体生物学资料。在各变量中捕捞死亡系数F和开捕年龄t是人为可控制的因素,其他各变量均决定于群体本身的生物学特性。变化F或t,或F、t同时变化,就可得出如图1、图2的一条曲线和图3的一组等值线,从而可推断出最适捕捞方案。根据当前对该群体的捕捞水平(F值)和开捕年龄(t)就可分析其资源利用是否合理,判断渔业所处的状态是捕捞过度还是利用不足,找出与最佳状态的差距,从而为渔业资源管理提供科学依据。此模式在渔业资源管理中得到广泛的运用。
图2 在F一定的条件下,Y/R对t的变化曲线
图3 变化F、t等渔获量曲线
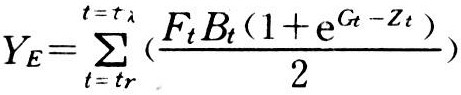
Ricker单位补充量产量模式 亦称指数产量模式。此模式由里克(W.E.Ricker,1958)提出,假定前提和B-H模式相同,直接使用群体各年龄或各时间区间始末的平均体重W及W+1,以及各年龄间或各时间区间的自然死亡系数M和捕捞死亡系数F等资料计算平衡产量。其数学表达式为:
动态综合模式
式中 G=ln;B=N;Z=W+F;t、t+1分别表示t龄和t+1龄时间区间的始末年龄;N、B分别为t年的群体尾数和群体生物量;F、Z、G分别表示第t龄至第t+1龄时间区间内的捕捞死亡系数、总死亡系数、体重生长率(增重率);Y为平衡产量。
和B-H模式一样,Ricker模式也可绘制出如同图1~3相同的曲线,作为衡量渔业利用是否合理的科学依据。但是,此模式运用比B-H模式更为灵活,对于非匀速生长(体重与体长为非立方关系,关系指数b≠3),每年渔汛明显或生命周期短(以日、旬、月、季为时间间隔或时间间隔不相等)的种类均可进行推算分析。
不完全β函数产量计算方程 为了便于计算,并使模式适用于非匀速生长的种类,琼斯(R.Jones,1957)对B-H模式提出了一些修改,使用不完全贝塔函数表来计算,其数学表达式为:
动态综合模式
〔β(X,P,Q)-β(X1,P,Q)〕
式中 N0为每年达到年龄t。鱼的假设个体数;X=e;X1=e
;P=Z/K;Q=b+1,这里的b就是表达种群体—体长关系的指数系数;β为不完全贝塔函数符号。如果tλ很大,则上式可略去β(X1,P,Q)而成为:
动态综合模式
此方程用一般代数法或积分法难以求算,而要用查表法或电子计算机直接进行计算,得到的结果与B-H模式相同或相近。
所有评论仅代表网友意见