登录| 注册    
收藏  点赞 

回归正交设计

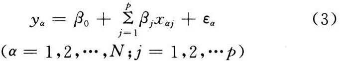
试验方案的结构矩阵X具有正交性的回归设计。常用的有一次回归正交设计与二次回归正交设计。一次回归正交设计表达试验结果的回归方程只有常数项、线性项和线性交互作用项,其回归模型为: 回归正交设计 (α=1,2,…,N;i,j=1,2,…,p)多数情况下是利用二水平正交表安排多因素试验

试验方案的结构矩阵X具有正交性的回归设计。常用的有一次回归正交设计与二次回归正交设计。

一次回归正交设计

表达试验结果的回归方程只有常数项、线性项和线性交互作用项,其回归模型为:

回归正交设计

(α=1,2,…,N;i,j=1,2,…,p)

多数情况下是利用二水平正交表安排多因素试验,各因素水平上限(z2j)及下限(z1j)确定后取线性变换对实际水平进行编码,其中z0j称为零水平,△j称为变化区间,是编码值为1的水平间距。经线性变换二水平正交表中的1、2两个水平都转化为编码值-1及1两个无量纲的纯数。各因素不同水平的取值可能大小不一,转化为-1及1两个水平编码值后即成为多维正立方体因子空间。对回归模型(1),令xp+1=x1x2、xp+2=x1x3,…,=xp-1xp,则模型(1)转化为线性回归模型。

回归正交设计

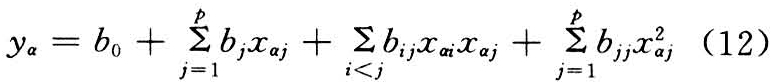
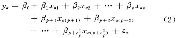
式(2)中为户个元素中取2个的组合数,就是两因素交互作用的项数。如将两因素交互作用也理解为1个因素,并将其包括在户个因素之内,则式(2)可简化表示为

回归正交设计

由于式(3)的结构矩阵X如下,它由试验方案各处理的水平组合所决定。

回归正交设计

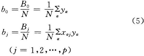
其中各项因素均经过线性变换为-1及1两个水平编码值,除常数项的系数为1外,其余各列均符合正交条件,所以参数β的最小二乘估计b可简化为

回归正交设计

得回归方程为

回归正交设计

正交性已消除了结构矩阵中各列之间的相关性,故可剔除不显著的项。

二次回归正交设计

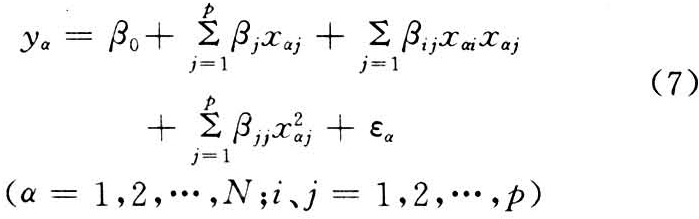
回归模型中包括常数项、线性项、线性交互作用项及二次项的回归正交设计,回归模型为:

回归正交设计

各个因素的水平数必须多于3个才可求出式(7)中的二次项。为了精确绘出二次曲线,常须进行5个水平的试验,这时处理组合数将多到无法实施,解决这个困难的方法是组合设计。组合设计各实验单元的处理内容由三部分组成:①mc。为二水平正交表中各处理组合。②2户。为分布于p个因素坐标轴上距中心点距离为γ的轴点,称为星号臂。③m0。各因素都取零水平的中心点。

二因素及三因素试验各处理组合在因子空间中的分布如图1、2

图1 二因素组合设计的因子空间分布

图2 三因素组合设计的因子空间分布

m0可取不同重复次数,处理组合数目N为

回归正交设计

组合设计有5个水平(γ、1、0、-1、-γ),但处理组合数目比完全实施方案少得多,从而减少过多的剩余自由度。

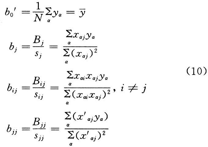
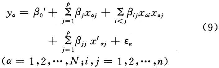
为了使式(7)结构矩阵符合正交条件采取了二个措施:①用公式调整星号臂γ的取值;②对列进行中心化变换,得。当试验的因素数及各因素水平上限(z2j)及下限(z1j)确定后,即可用对试验水平编码,与一次回归正交设计不同的是。经以上处理后式(7)成为式(9)

回归正交设计

式(9)的结构矩阵内各列符合正交条件,参数β的最小二乘估计b由式(10)求得:

回归正交设计

得回归方程为

回归正交设计

代入式(11),即得回归方程的一般形式

回归正交设计

对式(11)进行显著性检验后,即可按部分处理有重复的方差分析,再在因子空间中寻优。

回归正交设计的突出优点是可以用很少的处理组合得出完全实施试验相同项数的回归模型,计算过程极为简单并已消除了回归系数之间的相关性,统计性质得到了明显改善,因此在计算机推荐施肥多因素肥料试验中应用甚广。