登录| 注册    
收藏  点赞 

标准差

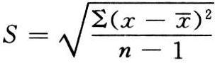
反映数据资料分布离散性的特征数。用以度量资料中各观察值偏离均数的平均变异程度。表示资料变异程度的指标较多,有极差、方差、标准差、变异系数等,其中最为广泛应用的是标准差。设一含有n个观察值x1,x2,…,xn的有限总体,平均数为μ。其总体标准差δ的计算公式为: 标准差 由于总体标准差δ不易求得,实际工作中常用样本标准差S作为δ的估值。

反映数据资料分布离散性的特征数。用以度量资料中各观察值偏离均数的平均变异程度。表示资料变异程度的指标较多,有极差、方差、标准差、变异系数等,其中最为广泛应用的是标准差。设一含有n个观察值x1,x2,…,xn的有限总体,平均数为μ。其总体标准差δ的计算公式为:

标准差

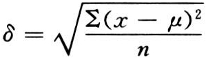
由于总体标准差δ不易求得,实际工作中常用样本标准差S作为δ的估值。对于含有n个观察值x1,x2,…,xn的样本,其样本标准差S的计算公式为:

标准差

式中为离均差平方和,简称平方和,记作SS;n-1称为自由度,记作df。“自由度”一词源于物理学,在统计学上指样本内独立而能自由变动的观察值的个数。这里我们估计S所使用的n个观察值,因受平均数的约束,有一个观察值不能自由变动,因而自由度为n-1。数学上可以证明,用n为除数所得的S是δ的偏小估计;若用n-1替代n,则可避免偏小的弊端,提高用样本衡量总体变异性的精度。在实际应用上,小样本资料一定要用自由度来计算S;在大样本时,用n与n-1相差微小,也可用n作分母。

计算标准差的主要工作量在于计算,当为一约数时容易造成计算误差,所以通常把平方和变形为:

标准差

代入S公式为

标准差

标准差的用途:①衡量资料的变异程度;②结合平均数用来估计变量的分布情况。当资料呈正态分布时,以平均数为中心,左右各取一个标准差范围内可包括全部变数的68.27%,左右各取两个标准差范围内可包括全部变数的95.46%,左右各取三个标准差范围内可包括全部变数的99.73%。利用这个性质,可用以估计正常值范围;③作为计算其他统计量的基础。如计算变异系数、标准误等。变异系数是标准差占平均数的百分比。它是一个不具单位的相对值,可用于比较单位和均数不同的资料的变异程度。变异系数(coefficient of variation)记为C.V,其计算公式为:

标准差