登录| 注册    
收藏  点赞 

多元线性回归

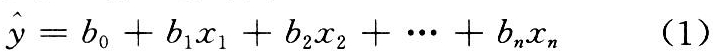
分析一个依变量与多个自变量间线性依存关系的统计方法。在大多数情况下,一个变量不同程度地受多个变量的影响。因而必须分别估测各自变量的变化对依变量的影响。多元线性回归方程的配合当依变量y受x1,x2,…,xi,…,xm诸自变量的影响时,则在y与xi变量间可配一多元线性回归方程: 多元线性回归 式中为依变量y估计值,xi为第i个自变量(i=1,2,…,m)

分析一个依变量与多个自变量间线性依存关系的统计方法。在大多数情况下,一个变量不同程度地受多个变量的影响。因而必须分别估测各自变量的变化对依变量的影响。

多元线性回归方程的配合

当依变量y受x1,x2,…,xi,…,xm诸自变量的影响时,则在y与xi变量间可配一多元线性回归方程:

多元线性回归

式中为依变量y估计值,xi为第i个自变量(i=1,2,…,m),m为自变量个数。b0为常数项:

多元线性回归

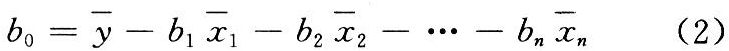
式中为依变量和自变量的均数,bi为y对各自变量xi的偏回归系数(也称净回归系数)。如bi=by,1,2,3…m为x1,x2,x3,…,xn诸自变量都固定时,自变量x1变化一个单位影响依变量平均改变的量,这就是y对x1的偏回归系数。其余各自变量的偏回归系数都有同样相应的含义。

bi(i=1,2,…,m)计算,仍按使离回归平方和(估计误平方和)达极小的要求,用偏微分法求之。所得bi必须满足正规方程组(3)条件。

多元线性回归

式中 SSi,SPij(i,j=1,2,…,m)为各自变量的平方和乘积和及其与依变量y的乘积和。

由解式(3)求得bi值代入式(2)求出b0,并建立多元线性回归方程。

显著性检验需利用方程组系数矩阵的逆矩阵元素,故通常用矩阵法来同时求逆求解。

显著性检验

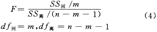
目的是确定依变量y与m个自变量间是否存在线性回归关系,检验的假设为H0∶β1≈0,β2≈0,…,βn≈0。由方差分析法计算统计量F:

多元线性回归

式中(i=1,2,…m),SS,m为自变量数,n为变量观察数。

求得F值后,查F界值表,确定其P值,按所取检验水准作出推断结论,若否定H0,则可认为存在线性回归关系,所配多元回归方程成立。

偏回归系数的显著性检验

判定每一自变量xi与依变量y是否存在线性关系,需对每个偏回归系数进行显著性检验。检验假设H0∶βi=0。方法用t检验(也可用F检验,F=t2),统计量t为:

多元线性回归

式中 Sbi为偏回归系数标准误,Sy·12…m为估计误标准误(离回归标准误),SS为离回归平方和,m为自变量数,n为变量观察数,Cii为逆矩阵主对角线元素。

求得tbi值后,查t界值表,确定其P值,按所取检验水准作出推断结论。若tbi中有一个或几个不显著,则应先把偏回归平方和(SSbi

多元线性回归

最小(即对y作用最小)的一个自变量从方程中剔除出去,剔除后需建立新的回归方程,再对新的偏回归系数进行检验,直到方程内的偏回归系数都显著为止。当有多个偏回归系数不显著,不能一下都剔除,只能逐一剔除。

多元线性回归方程的拟合度测定

也就是从所配方程诸自变量xi来估计依变量y的准确度测定。它的意义和具体计算参见相关条多元相关部分的复相关系数和复相关指数。

标准化偏回归系数

要比较各自变量在多元回归中对y的作用大小,必须消除偏回归系数单位,也就是标准化,使它们变为可比的纯数。回归系数的标准化是将各变量的观察值除以各自的标准差

各偏回归系数经标准化后,可依其绝对值的大小判断它们的相对重要性,其大小顺序与偏回归平方和的大小顺序完全一致。标准偏回归系数即通径系数。