登录| 注册    
收藏  点赞 

方差分析

将试验数据的总变异分解为不同来源的变异,从而判明试验中各因素作用大小的一种统计方法。由英国统计学家费歇(F.A.Fisher,1923)首创。

将试验数据的总变异分解为不同来源的变异,从而判明试验中各因素作用大小的一种统计方法。由英国统计学家费歇(F.A.Fisher,1923)首创。方差分析是畜牧试验和调查资料最常用的统计分析方法之一,其基本内容包括:①根据试验资料的数学模型,将总变异的平方和及自由度分解为不同变异来源的平方和及自由度,并由平方和除以自由度得出各变异来源的均方;②根据均方的理论组成,检验有关均方的显著性——F检验,以评定各变异因素效应的有无及其大小;③在F检验显著后,可进一步估计方差组分。对固定效应的各变异来源,还可进行多重比较。

方差分析的方法因试验设计及分组方式不同而有不同的形式。

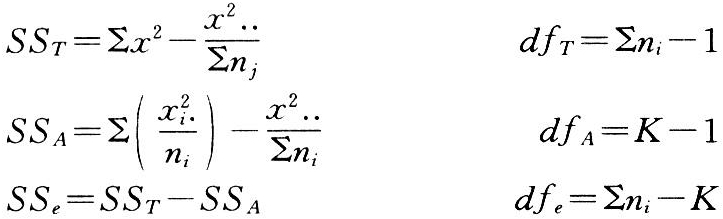
单向分组资料的方差分析

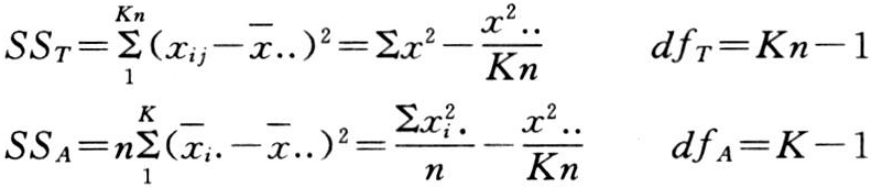
设某试验K个处理,每个处理有n个观察值,其数据模式见表1。

表1 单向分组资料的模式

表1数据的线性模型为:

xij=μ+ai+εij(i=1,2,…,K;j=1,2,…,n)

式中 μ为总体均数;ai为处理效应,并满足Σai=0,而εij是随机误差,相互独立,且服从由于处理效应性质不同,又有固定模型和随机模型之分。固定模型是指因素水平是特别选定的,因而处理效应是固定的常量。随机模型是指因素水平是从一总体中随机抽出的,因而处理效应是随机的变量。在方差分析中,模型不同,各项变异的期望均方和F检验亦不相同。为区别计,处理效应方差在固定模型中以表示,在随机模型中以表示。根据上述线性模型,该资料的总变异可分解为处理间变异和随机误差两部分。各项平方和及自由度的计算公式为:

方差分析

方差分析

对于各组含量n不等的资料,在计算SS与df时,相应地改变为:

方差分析

上述结果的方差分析和期望均方列于表2。

表2 单向分组资料的期望均方(EMS)

无论固定模型或随机模型,检验处理效应的显著性,都应以误差均方为F检验的分母。

两向分组资料的方差分析

两向分组资料亦称交叉分组资料。这类资料又因各组合内有无重复观察值而分为两种。

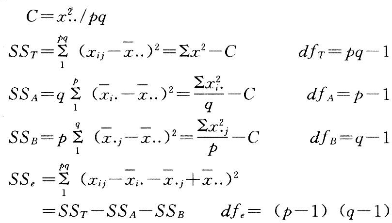
无重复观察值的两向分组资料的方差分析

设有A和B两个因素,A因素分p个水平,B因素分q个水平,每一处理组合仅有一个观察值,则全试验共有pq个观察值,其数据模式列于表3。

表3资料的线性模型为:

xij=μ+ai+bj+εij(i=1,2,…,a;j=1,2,…,b)

式中 μ为总体均数;ai和bj分别为因素A和B的效应,可以是固定模型或随机模型;εij为随机误差,相互独立,且服从)。表3资料的总变异可剖分为A因素各水平的变异、B因素各水平的变异和试验误差三部分。其各项变异来源的平方和及自由度计算公式为:

表3 无重复观察值的两向分组资料的模式

方差分析

表3资料由于存在两种处理效应ai和bj,相互搭配,在固定和随机两种模型的基础上,又产生一种混合模型。各种模型的期望均方列于表4。

表4 各变异来源的期望均方

不论是固定、随机或混合模型的各因素效应的检验都应以误差均方MSe作为F检验的分母。这种方法要求A、B因素间不存在互作,才能正确估计误差。若把B因素作为区组,则就为常见的随机区组设计试验。

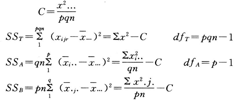
有重复观察值的两向分组资料的方差分析

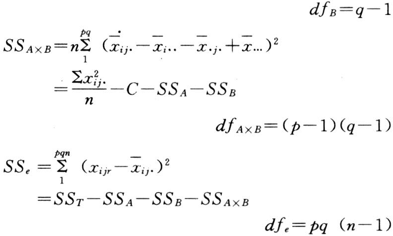
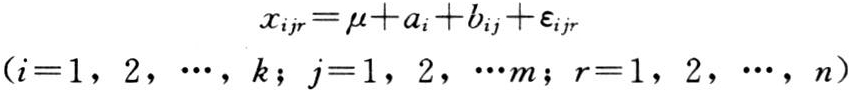
设有A和B两个因素,A因素有p个水平,B因素有q个水平,共有pq个处理组合,每个组合有n个重复,全试验共有pqn个观察值。这种资料的数据模式如表5。

表5资料的线性模型为:

xijr=μ+ai+bj+(ab)ij+εijr(i=1,2,…,p;j=1,2,…,q;r=1,2,…,n)

式中 μ为总体均数;ai和bj分别为因素A和B的效应,(ab)ij为A×B的互作效应,即因素A和B间相互促进或抑制而产生的效应,εijr为随机误差,相互独立,且服从)。该资料的总变异可分解为A因素各水平变异、B因素各水平变异、A、B两因素互作和试验误差四部分。各项变异来源的平方和及自由度计算公式为:

表5 有重复观察值的两向分组资料的模式

方差分析

方差分析

上述结果的方差分析和期望均方列于表6。

表6 表5资料的各变异来源的期望均方

表6的期望均方是正确进行F检验的依据。在固定模型时,检验H0∶ai=0,H0∶bj=0和H0∶(ab)ij=0,都应以MSe为分母;在随机模型时,检验H0∶(ab)ij=0,以MSe为分母,而检验H和H0,都应以MSA×B为分母。对于混合模型中效应的检验,同样应由期望均方作出选择。在上述检验中,首先应检验互作的显著性。如果互作不显著,则不论何种模型均可以MSeF检验的分母。

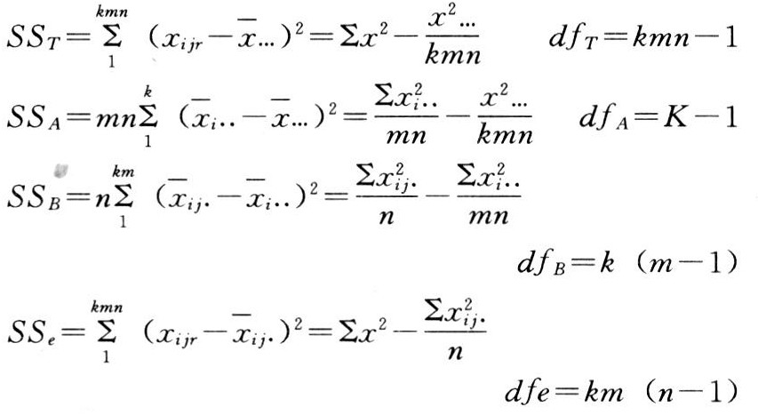
系统分组资料的方差分析

试验资料逐级向一个方向分组。如果先分为k组,每个组又分m个亚组,每个亚组具n个观察值,共有kmn个观察值,则为二级系统分组资料。这种资料的数据模式列于表7。

表7资料的线性模型为:

方差分析

式中 μ为总体均数;ai为组效应或处理效应,可以是固定的或随机的,bij为亚组效应,一般为随机的,遵循N(0,σ2),而εijr为随机误差,相互独立,且服从因此,表7数据的总变异可分解为组间变异、组内亚组间变异和随机误差三部分。各项平方和

表7 二级系统分组资料模式

方差分析

及自由度的计算公式为:

方差分析

方差分析表和期望均方列于表8。

表8 二级系统分组资料的期望均方

由表8期望均方可见,为检验组间效应,即检验,应取MSBF检验分母;为检验各亚组间效应,即检验,应取MSe为F检验分母。

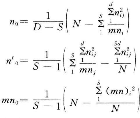
系统分组资料的形式在畜牧业中是常见的,例如一畜群中有几头公畜,每头公畜与配若干头母畜,并各产若干头仔畜。因而同一公畜不同母畜的后代间均为半同胞关系,同一母畜的后代间均为全同胞关系。利用这类资料估计各变异项的期望均方,我们就可以进行各种遗传分析和估测性状的遗传参数。如果每头公畜所配母畜数不等,每头母畜的子女数也不等,则在估计期望均方中,要先计算三个加权系数n0、mn0

方差分析

式中 n0为每头母畜平均子女数,mn0为每头公畜平均子女数,S为公畜数,D为母畜总数,d为每头公畜与配母畜数,nij为各头母畜子女数,mnj为各头公畜子女数,N为总子女数。

F检验显著后,如要明确各处理均数间的差异显著性,还需进一步作多重比较。其比较方法较多,目前常用的有最小显著差数法(LSD法)和最小显著极差法(LSR法)。若采用LSD法于多重比较,则将平均数差异的绝对值与最小显著差数比较,在α水平上作出差异是否显著的推断。其中,tα为临界t值,为均数差异标准误。若采用LSR法(此法包括新复极差法与q法)于多重比较,则将平均数差异的绝对值与最小显著极差(新复极差法)或·(q法)作比较,在α水平上作出差异是否显著的推断。其中,是根据平均数差数两极差范围内所包含的处理数——秩次距K,误差自由度dfe,从SSR表或q表中查出临界SSR值或q值,为均数标准误

方差分析是当今统计分析中应用最广的一种统计方法。进行方差分析要以一定的数学模型为基础。建立这种模型有三个基本假定:①处理效应和误差效应是可加的;②试验误差是独立的随机变量,其分布是正态的;③各处理的误差方差是同质的。如有的资料不能满足这三个假定,则可将资料作适当的数据转换后再作方差分析,或采用非参数方法分析。