登录| 注册    
收藏  点赞 

杂种优势

杂种在抗逆性、繁殖力、生长势等方面优于纯种亲本的现象。杂种优势是生物界普遍存在的现象。杂种优势的类型一般分为以下三种类型。个体杂种优势亦称后代杂种优势或直接杂种优势。指杂种仔畜本身呈现出的优势。主要表现在杂种仔畜比纯种仔畜在哺乳期间的生活力提高,死亡率降低,生长也较快;其次表现在杂种家畜发育期的生长速度和生产性能、抗逆性也有所提高。母本杂种优势指用杂种代替纯种做母本时母畜所表现出的优势。

杂种在抗逆性、繁殖力、生长势等方面优于纯种亲本的现象。杂种优势是生物界普遍存在的现象。

杂种优势的类型

一般分为以下三种类型。

个体杂种优势

亦称后代杂种优势或直接杂种优势。指杂种仔畜本身呈现出的优势。主要表现在杂种仔畜比纯种仔畜在哺乳期间的生活力提高,死亡率降低,生长也较快;其次表现在杂种家畜发育期的生长速度和生产性能、抗逆性也有所提高。

母本杂种优势

指用杂种代替纯种做母本时母畜所表现出的优势。表现在F1母畜比纯种母畜繁殖力强,泌乳力强,易饲养,利用期延长。

父本杂种优势

指用杂种代替纯种做父本时公畜性能所表现出的优势。一般表现在杂种公畜比纯种公畜精液品质较好、性欲较强。母本和父本杂种优势都可用来改进家畜的繁殖性能。但一般说来,母本杂种优势要比父本杂种优势重要些。

杂种优势的度量

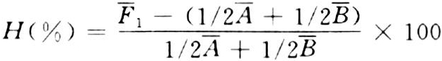
畜牧业中,杂种优势常用杂种优势率(fraction of heterosis),即杂种性状均值超过纯种亲本同一性状均值的百分率来表示。二品种(品系)杂交情况下的计算式为:

杂种优势

式中 H(%)为杂种优势为一代杂种均值,为不同的两个纯种亲本的均值。

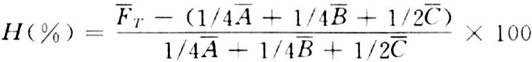
三品种(品系)杂交C×(A×B)情况下的计算式为:

杂种优势

式中为三品种(品系)杂种均值;为参与杂种的三个纯种亲本的均值。上两式的分子部分,即杂种均值与纯种亲本值的差值,称为杂种优势量(amount of heterosis,H)。若杂种均值超过亲本均值,称为正杂种优势,若低于亲本均值,则为负杂种优势。正杂种优势不都是人们所期望的,如达上市体重的日龄、背膘厚度等则要求呈现负杂种优势

遗传机理

杂种优势的遗传机制迄今尚无完善解释。主要有以下两种假说。

显性说

由布鲁斯(A.B.Bruce)等人于1910年首先提出,此后,琼斯(D.F.Jones,1917)更进一步加以补充。该假说认为,有利于个体的基因一般为显性,或至少是部分显性;而不利的(含有害的)基因则为隐性。当两个遗传组成不同的近交系杂交得到F1时,各杂合位点上的显性基因就可掩盖其相对的不利隐性基因的作用,从而以长补短,使F1表现出优势来。对于数量性状,这里所称的显性基因后来称为增效基因(increasing allelomorph),而隐性基因叫作减效基因(decreasing allelomorph)。数量性状由多位点基因控制。所以,具有显性基因(增效基因)的位点越多,、分别杂种优势程度就越大。以猪的日增重为例,假定两品系是相对基因的纯合子,且假定该性状受控于三对基因,每对显性基因决定220克的日增重,每对隐性基因决定180克。由于A对a、B对b、C对c均为完全显性,故在表型效应上Aa=AA>aa,余类推。两品系杂交,结果如图1。由图1可见,由于杂交,两亲本的显性基因相互补充,F1的显性基因位点增多,使F1表现出优势来。

图1 显性说图例

超显性说

亦称杂合性说或等位基因互作说。由沙尔(G.H.Shuu)和叶斯特(E.M.East)分别于1908年首先提出,叶斯特于1936年又作了进一步的阐述。该说假定等位基因间不存在显隐性关系,杂种生活力的提高来自杂合性本身,即杂合子(如a1a2)优于任何纯合子(如a1a1与a2a2)。杂合位点愈多,杂种优势则愈明显。杂合子优于纯合子来源于等位基因间的相互作用。以猪的日增重为例,假定纯合态的a1a1、a2a2、b1b1、b2b2、c1c1、c2c2的表型效应为200克,杂合态的a1a2、b1b2、c1c2的表型效应均为220克,则F1优势的产生如图2所示。后来有些学者认为,不仅等位基因间存在互作,非等位基因间也存在着各种类型的互作,在这种情况下,杂种优势还进一步提高。

图2 超显性说图例

制约因素

杂种优势量的变化很大,它决定于参与杂交的亲本与环境。不同的性状其杂交优势水平也有很大差别。

亲本间的遗传差异

若有两群体P1、P2,其基因A与a的频率不同,设分别为p、q及p′、q′,频率差y=p-户′=(1-q)-(1-q′)=q′-q,于是p′=p-y,q′=q+y。由于μ=a(p-q)+2dpq,这里,a、d和-a分别为基因型AA、Aa、aa的基因型值,因而

μP1=a(p-q)+2dpq

μP2=a(p-y-q-y)+2d(p-y)(q+y)=a(户-q-2y)+2d〔pq+y(p-q)-y2

(亲本均值)=1/2(μP1-μP2)=a(p-q-y)+d〔2pq+y(p-q)-y2

为求μF值,可列出如下棋盘格:

将三种基因型的基因型值乘其频率并总加得:

杂种优势

μF=a(户2-py)+d〔户(q+y)+q(户-y)〕

-a(q+qy)=a(户-q-y)

+d〔2pq+y(户-q)〕

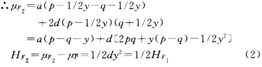
HF(F1杂种优势量)=μF-㊣=dy2

若考虑所有位点的联合效应,并假定各位点的效应是加性的,则HF可表示为各位点dy2之和:

杂种优势

从公式(1)可见,两杂交亲本间基因频率之差y愈大,具有这种差异的位点愈多,F1杂种优势量就愈大。

同一世代杂种自群繁殖,杂种优势量逐代下降也反映了亲本间遗传差异程度对杂种优势的影响。F1自群繁殖得到的F2,其基因频率为(p-y/2),(q+y/2),由于μ=a(户-q)+2dpq

杂种优势

由公式(2)可见,F2杂种优势量仅为F1的一半。同理,以后各世代的优势量均按上一代的半数递减。

亲本的纯度

公式(1)中亲本间基因频率之差y只有当两个亲本的遗传纯度高且为相对基因的纯合子时才能达到最大值,因而两亲本的遗传纯度也对杂种优势产生影响。

性状

不是所有的性状均能呈现杂种优势遗传力高的性状,如胴体性状,当杂交时,无论两亲本的遗传差异程度有多大,一般只呈现低的或不呈现杂种优势;反之,遗传力低的性状,如繁殖力与生活力,则可呈现较高的杂种优势,其原因用公式(1)说明。该式中的d为杂合子的基因型值(用与两纯合子的中点值之差度量),亦即该位点基因的显性效应。遗传力高的性状主要以基因的加性效应为基础,非加性基因作用(显性效应和上位效应)很小甚至不具有此种效应,故对高遗传力性状而言,HF甚小或为零。可见,杂种优势一般只出现于非加性基因作用为主的性状。

环境

杂种优势常受到环境条件如营养水平、饲养制度、温度、健康状况等的影响。许多实验证明,在较差的环境下,对于大多数性状(生长速度明显除外),杂种优势似乎反而表现更高的水平。

应用

在有计划的商品性杂交(见杂交繁育)中,必须考虑利用、开发杂种优势效应。利用的重要一步是仔细挑选已在育种群进行过改良的品种或品系做杂交亲本。由于两亲本在遗传起源、亲缘关系甚至在地理起源上的不同,可在一定程度上反映亲本间遗传组成的差异,故宜选用遗传起源和亲缘关系相距较远的种群进行杂交;对于来源不清的杂种母畜群可用遗传起源上与之无相关的公畜配种;在评价和选择杂交方式时,亦应考虑商品畜的两亲本间是否有最大的遗传差异;根据公式(2),在商品生产中,不论采用何种杂交方式,F1和商品世代个体均不宜进行自群繁殖。自群繁殖不仅使杂种优势降低,且由于基因的分离重组,自繁后代还显得十分不整齐(彩图8)。

用未纯化过的亲本杂交,杂种优势将受到限制。因此,有必要在育种场按计划培育或保持一些品系;并提倡采用有一定遗传纯度的品种系作为杂交亲本。用差异较大的两品系杂交,不仅杂种优势较之品种间杂交明显,且优势稳定,杂种均一性好,长期隔离的种群(如长期由地理交通因素隔离的群体和长期实行高度近交的群体)以及经长期严格选择和近交、性状变异小的畜群一般较纯,在判断亲本纯度时亦可作为参考。

对于低遗传力性状,由于选择一般不易奏效,而杂交又能获得杂种优势,故杂交法已成为改良繁殖力、生活力性状的主要手段。而对于高遗传力的性状,由于一般不能期望杂种会超过双亲均值,故要使这些性状在商品群中表现良好,就必须在育种群中采用纯种繁育法对这些性状进行强度选择。