登录| 注册    
收藏  点赞 

韦布尔方程

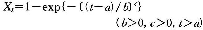
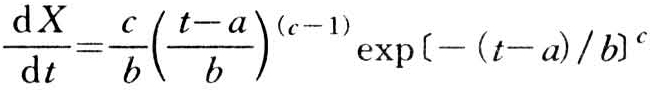
概率密度函数之一。彭尼帕克(Pennypacker,1980)将其引入植病流行学中病害季节性流行动态的研究,其微分形式为: 韦布尔方程 积分形式可写成: 韦布尔方程 式中Xt为时间t时的病情百分率;a为位置参数,决定病害始发期;b为比率参数,决定流行速度;c为流行曲线的形状参数,决定流行的先后速度的相对快慢。

概率密度函数之一。彭尼帕克(Pennypacker,1980)将其引入植病流行学中病害季节性流行动态的研究,其微分形式为:

韦布尔方程

积分形式可写成:

韦布尔方程

式中Xt为时间t时的病情百分率;a为位置参数,决定病害始发期;b为比率参数,决定流行速度;c为流行曲线的形状参数,决定流行的先后速度的相对快慢。

由于方程有三个参数,其种种组合可描述多种形式的流行曲线,因此也称弹性模型(flexible model)。当c=1时,韦布尔方程可代替指数模型用来描述单年病害流行。当c=3.6时可代替逻辑斯蒂模型用于描述单年流行病害的流行。式中的a为病害数量开始增长的日期。因此,只有t>a时,病害才会发展。参数b决定流行速率,其取值大小与流行速率呈反相关,即b值越大,流行速率越小。

韦布尔模型的各种曲线形式(引自曾士迈,1986)(a=0,b=50)

韦布尔函数的特点是可以通过对参数a、b、c的调整来描述多种形式的流行曲线,如前期增长快,后期增长慢或前期增长慢,后期增长快等情况。

由于韦布尔函数没有反映初菌量的参数,在解释流行和预测病情时受到局限。