登录| 注册    
收藏  点赞 

达西定律

水在多孔介质中流动的规律。这是法国人达西(H.Darcy)于1856年通过均质砂滤层的渗透试验得出的,也适用于土壤中水的流动。定义为:单位时间内通过单位断面的水的容积(水的流量q)与水压梯度成正比。 达西定律 式中:L为水的流程;为水压梯度;K为土壤导水率。在饱和流中,K为常数,q只随水压梯度大小而变化。在非饱和流中,K不是常数,随土壤水饱和度不同而不同。

水在多孔介质中流动的规律。这是法国人达西(H.Darcy)于1856年通过均质砂滤层的渗透试验得出的,也适用于土壤中水的流动。定义为:单位时间内通过单位断面的水的容积(水的流量q)与水压梯度成正比。

达西定律

式中:L为水的流程;为水压梯度;K为土壤导水率。在饱和流中,K为常数,q只随水压梯度大小而变化。在非饱和流中,K不是常数,随土壤水饱和度不同而不同。

在饱和流条件下的应用

公式中导水率对一种土壤是常数,则(1)式可写成:

达西定律

在饱和土壤中,所有孔隙充满水并连续流动,导水率为最大(Ks),此时水压梯度最大而等于1(如无地面水层),则g等于Ks。后者称为土壤饱和导水率,其值大小与土壤孔径大小分布有关,是土壤水分物理特性指标。对农田灌溉、排水及水利工程设计是个重要参数(见彩色图版“饱和导水率测定装置”)。

达西定律是从均质砂滤层试验得出的经验性公式,而土壤多为非均质土,水头沿着水流方向并非完全呈线性变化,则可将达西定律以微分形式表达,如下式

达西定律

达西定律

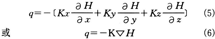
式中:dH/dL和dψ/dz分别是水头和水势对距离的微分值;负号表示水流方向向着水头梯度(或水势梯度)降低方向流动。对于三维空间内饱和水流运动,达西定律可用下式表达:

达西定律

式中:▽为三维空间微分算符;▽H表示三维空间水头梯度。此式为多变量微分,故用偏微分号。在饱和流条件下,一维垂直渗流系数K可表示土壤透水性指标,它具有速度的量纲(LT-1),常以厘米/秒或用米/日表示。

达西定律在饱和水流条件下,只适用水流慢的层流状态。如果水流呈紊流状态,因流速大,通量与水头梯度不再呈线性相关。在粘土介质细孔中可出现偏离达西定律的情况。如水头(水势)梯度低于一定值时,通量为零(不流动)或低于达西定律预示的值,这种情况可能是粘土比面特大,孔隙中水分受极强吸附力作用之故。

达西定律在非饱和条件下应用

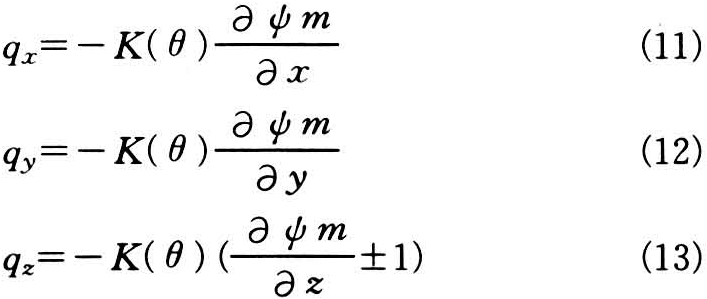
在非饱和土壤中也同样可应用达西定律,这是理查德(L.A.Richards)在1931年首先提出的,在形式上和饱和流一样。

达西定律

以上三式中,通量q与水势梯度▽ψ(或▽H)成比例变化,同达西定律原理是一致的。但在非饱和水流条件下,比例系数K是土壤含水率或基质势(或水头)的函数,用K(θ)或K(ψm)表达,亦即土壤非饱和导水率。由于非饱和水流运动的推动力主要是基质势重力势,以上三式任取其一式,用分势表示得下式:

达西定律

式中:▽z的正负号按重力势座标原点位置来决定,自原点向上为正,向下为负。非饱和导水率K(θ)也可表示为K(ψm)。在直角坐标系中,非饱和流达西定律沿三维方向的表达式:

达西定律

非饱和导水率是随土壤含水量的减少或随基质势的降低而下降,其主要原因有:①过水截面积逐渐减少。②水流通过孔隙的阻力逐渐增大。③水流途径弯曲度和距离增加。