登录| 注册    
收藏  点赞 

土壤耕作动力学

研究耕作机具施加于土壤的力与土壤反作用力之间关系的学科。包括土壤动力学和土壤—机器力学两部分。它是土壤耕作的理论基础。简史自从人类社会出现了种植业,就有了土壤耕作。远在西周至春秋战国时代,农民已用耒耜这种简单的工具进行耕作。耒是向上弯曲的木柄,耜是用木片或蚌壳之类做成的剌土工具。向上弯曲的柄使用起来比直柄方便、省力,二人协力耕作谓之耦耕。当然,这仅是人们对耕作动力学有了启蒙认识。

研究耕作机具施加于土壤的力与土壤反作用力之间关系的学科。包括土壤动力学和土壤—机器力学两部分。它是土壤耕作的理论基础。

简史

自从人类社会出现了种植业,就有了土壤耕作。远在西周至春秋战国时代,农民已用耒耜这种简单的工具进行耕作。耒是向上弯曲的木柄,耜是用木片或蚌壳之类做成的剌土工具。向上弯曲的柄使用起来比直柄方便、省力,二人协力耕作谓之耦耕。当然,这仅是人们对耕作动力学有了启蒙认识。到了魏晋和南北朝,已发展了耕、耙、耱的耕作体制,知道通过不同结构的农具对土壤向前、向上和向下施力,以建立一个既适合作物生长,又能保持水土的土壤物理环境。到了三国时期,在中国南方水稻土地区出现了“江东犁”。犁的出现和耕作方法的建立是农业史上的巨大进步。至明清时代,土壤耕作知识有了更完善的发展。然而,这些发展仍然是经验知识的积累。

土壤动力学作为一门科学,始于20世纪20年代。1918年美国的怀特(E.A.White)在康奈尔大学的博士论文“关于犁体及其对土垡作用的研究”,标志着土壤耕作工具理论性探讨的开始,1926年美国麦吉本(Mckibbem)的综述文章“土壤动力学问题”,首次提到由土壤、物理、化学和生物特性综合形成的某些动力学性质,如由分子或原子间的引力产生的粘结力和粘着力,由颗粒的凝聚产生的塑性和硬度,由于土壤组分形成复合体而产生的抗拉、抗压、抗剪强度、摩擦系数和弹性模量等机械特性,并提出用数学原理来试验测定这些机械特性。此后到第二次世界大战前,英、德和苏联的学者也开展了这方面的研究。其中,美国的尼科尔斯(M.L.Nichols)等的研究较为系统、全面。他们不仅研究了土壤在犁壁表面流动的力学过程、机具下土壤中的应力分布和拱作用,而且开始研究土壤对作用力的反作用,并设计出简单的预报土壤反作用的试验方法,这些研究,为建立土壤—机器力学打下了基础。1950年,美国农业工程师学会(ASAE)建立了独立的土壤动力学学科,成为农业基础性研究领域之一。1967年,由吉尔(W.R.Gill)主编出版了《耕作和牵引土壤动力学》专著。其时,美国开展了规模较大的土壤压板问题的研究,于1971年出版了《农业土壤压板》,从土壤压板的发生和对植物生长的影响做了全面论述。1983年由库伦等(A.J.Koolen etc.)主编,出版了《农业土壤力学》一书,对土壤—机器力学做了全面的探讨。至此,农业土壤力学,如同以地质基础为对象的土力学一样,成为一独立学科。

土壤动力学性质

土壤受外力作用时才显露出来的性质,如土壤强度、塑流、压缩、摩擦等。土壤动力学参数是动力学性质的量度,可用来说明土壤对施加力的反作用。根据土壤动力学参数,以作用力为输入,土壤变形为输出的基本方程可定量描述工具作用和土壤反作用的关系,动力学参数可分独立动力学参数和合成动力学参数两类。

动力学参数

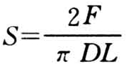
以自变形式出现的动力学参数,包括剪切、拉伸、压缩、塑流、摩擦和附着力。①剪切(见土壤抗剪强度)。②拉伸,粘结土体的一定横断面在单一轴向拉伸下断开的力。在田间以对土柱拉断的方法来测定。实验室通常用断裂模数测定法。这是用砖形土样,在其中间施加垂直压力直至断裂,按下式计算断裂模数(或称断裂系数):

土壤耕作动力学

式中:S是断裂模数(达因/平方厘米);F是断裂所需的力(达因);L是支持试样两支点间的距离(厘米);B,D是梁的宽和厚度(厘米)。也可将圆柱形试样横卧于两板之间加压直至破裂来测定,按下式计算断裂模数:

土壤耕作动力学

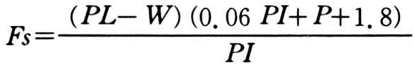
式中:D为试样直径,L为试样长度,其余同上。这是间接测定法。③压缩(见土壤压缩)。④塑流,塑流的剪应力(Fs)或强度可用下列两种方法测定:

土壤耕作动力学

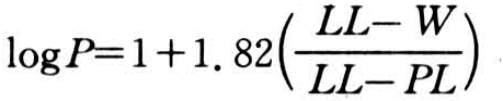
式中:PL是塑性限;PI是塑性指数;P是施加的正应力;W是土壤含水量。或

土壤耕作动力学

式中:P是土壤当量载荷或强度,LL是流限,其余同上。这两种方法都只适用于扰动的重塑土。⑤摩擦,(见土壤摩擦)。⑥粘着力,(见土壤粘着力)。

合成参数

反映由几个独立动力学参数综合产生的性能,如穿透阻力、承压强度和感应强度等,可用简单方法测定,当对其中的独立参数难以分别测定时,则可测定合成参数。①穿透阻力,穿透计(土壤坚实度计)的测头压入土壤的阻力,以测头的单位横断面积上的压力表示。这是土壤切开、剪移位、摩擦及塑流综合产生的阻力,反映土壤强度特性。测头的形状和大小都对测定结果有影响。以上称静载测定法。将测头冲击入土的则称动载法,以入土所需的能量表示。静载和动载的测定结果不同,但有联系。②承压强度,土壤支持车辆不使下陷的性能。评估土壤承压强度的指标是下陷深度。在一定压力下下陷的深度愈大,承压强度愈小。建筑基础的下陷同越野车辆的下陷存在的条件不同,前者根据弹性理论建模。而车辆的压力和下陷的基本关系是P=k(Zn)。式中,P为压力,Z是下陷深度,k和n是两个反映动态承压强度的参数。n同土壤性质有关,K同加载面和土壤特性有关。为了考虑到面积的影响,K分为kc和kφ。其中,kc是加载面的函数,kφ是摩擦分量。为了简化面积的影响,kc除以加载面的宽度b,故最后得到的方程式是:

P=(kc/b+kφ)Zn.

kc,kφ和n是3个评价承压强度的参数。③感应强度,土壤经过车辆滚压、人畜踩踏或其他处理后的强度的改变,一般用土壤处理后剪强度或坚实度的改变量作为量度。从剪切来说,主要是粘结力的改变。

土壤—机器力学

它用来描述和预报耕作机具对土壤的作用。耕作机具对土壤的作用是一个十分复杂的过程。

苏联学者戈梁金(В.П.Горячкин)提出犁耕时计算牵引阻力的公式:P=fG+Kab+Ev2ab式中,f为摩擦系数,G为犁重,K为土壤比阻,主要决定于土壤质地,a为犁耕深度,b为犁幅,E为与犁壁形状和土壤性质有关的系数,v为耕作速度。