登录| 注册    
收藏  点赞 

土壤水运动

土壤水在各种力作用下的移动。了解土壤水分运动规律,对进行土壤水分管理、改良盐渍土和沼泽化土壤以及改善生态环境等都很重要。土壤水运动包括液态水流和水汽扩散,而液态水流可分为饱和流与非饱和流。土壤饱和流全部孔隙充满水时在重力和压力梯度推动下产生的土壤水流:①在地下水面以下产生的水流,②在降水强度过大或灌溉初期表层土壤出现短时间的饱和水流,③丘陵山区土壤中的承压水、泉水等。

土壤水在各种力作用下的移动。了解土壤水分运动规律,对进行土壤水分管理、改良盐渍土和沼泽化土壤以及改善生态环境等都很重要。土壤水运动包括液态水流和水汽扩散,而液态水流可分为饱和流与非饱和流。

土壤饱和流

全部孔隙充满水时在重力和压力梯度推动下产生的土壤水流:①在地下水面以下产生的水流,②在降水强度过大或灌溉初期表层土壤出现短时间的饱和水流,③丘陵山区土壤中的承压水、泉水等。饱和水流运动遵循达西定律。如把土壤看作充水的毛管束,则饱和流可看作是毛细管层流,服从普肃叶定律(见普肃叶定律)。

饱和导水率

饱和流方程中的饱和导水率Ks在一定条件下是一个特征常数,如砂质土约在10-2~10-3厘米/秒,壤质土和粘质土约在10-4~10-7厘米/秒。在实用上可大致衡量水库渠道或稻田等的水分渗漏速度,如果是砂质土Ks值10-2厘米/秒,一天之中水的损失即为10米/日;壤土的K。为10-4厘米/秒,每天损失水为10厘米/日;粘土的Ks为10-6厘米/秒,那么,每天损失水仅为1毫米/日,因此可用细粘土做水库或灌溉渠道防渗材料,减少水分损失。

土壤非饱和流

土壤孔隙未被水分充满时液态水在基质吸力与重力梯度推动下的流动,如入渗、水分再分布、植物根区水流及土壤蒸发等。非饱和水流运动也遵循达西定律,但公式中K值不是常数,它是含水量的函数[K(θ)],非饱和导水率K随土壤含水量降低而减小,是由于孔隙充水状态的变化引起的。在水分接近饱和时,砂质土的大孔隙多于粘土。所以,砂土的K值大于粘土,当土壤含水量逐渐降低,输水孔隙急剧减小,导水率很快下降,但砂质土因大孔隙多,它们脱水后使输水通道不连续,故输水速度下降快,而粘土中多均一细小孔隙,输水速度下降较慢,最后造成粘质土的非饱和导水率反而大于砂质土(图1),这说明为什么粘质土在持续干旱条件下(地下水位深时)其干土层深厚的原因。土壤非饱和导水率还与土壤结构有关,团粒结构土壤能改变粘质土的孔隙细小均一状况,而成类似砂质土的孔隙状况,可使粘质土非饱和导水率在低含水量时变小,降低蒸发变干速度,有利于土壤保墒。

图1 不同质地土壤的导水率与吸力的关系(对数比例尺)

土壤水流运动基本方程

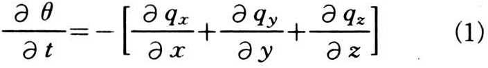
土壤饱和流达西定律及其在非饱和流条件下应用,仅就通量与水头梯度(或含水量梯度)关系进行定量数值规律探讨,但对多维状态研究还是不够的。因此,把达西定律和质量守恒原理(连续流原理)相结合,就可得出土壤水运动基本方程。根据连续流原理:

土壤水运动

式中:表示单元体土壤在单位时间(t)内水量变化值(偏导数);表示在三维空间的X、Y、Z各方向上单位距离的通量变化,负号指向着通量降低方向运动。此式表明,进出单元体土壤中单位时间内水量变化应等于该单元体X、Y、Z各方向上单位距离上通量变化之和。(1)式也可写成:

土壤水运动

饱和流基本方程

达西定律代入(2)式,即可得下式:

土壤水运动

∂H/∂ X(或水势梯度 ∂Ψ/∂X)用复合函数的数字处理方法,改变为土壤含水量梯度∂θ/∂X,并用新参数土壤水扩散率D(θ)来代替原来的-K(θ)/Ce,构成含水量梯度的土壤水基本方程。上式中的Ce称做比水容量。它是在水分特征曲线上某一点单位吸力(或势)含水量微分变化值(切线的斜率)。

土壤水运动

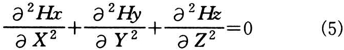
以上式中▽为三维微分算符,这就是饱和流基本方程。若三维梯度达西方程中假定Kx=Ky=Kz(均一质地,各向同性)时,则可写成式,代入连续流方程(1)式,同时因饱和流K也消去,因此得下式:

土壤水运动

上式为饱和流拉普拉斯方程(Laplace eq.),其意义指均质土饱和流条件下三维空间水头梯度的二阶偏导数的总和应等于零(见拉普拉斯方程)。它是一个椭圆型二阶偏微分方程,有无数个解,只有满足某些定解条件,如初始条件与边界条件,才能得出。以上(5)式是直角坐标方程,应用柱坐标的拉普拉斯方程,代入边界条件,可求出井筒出水量公式。

非饱和流基本方程

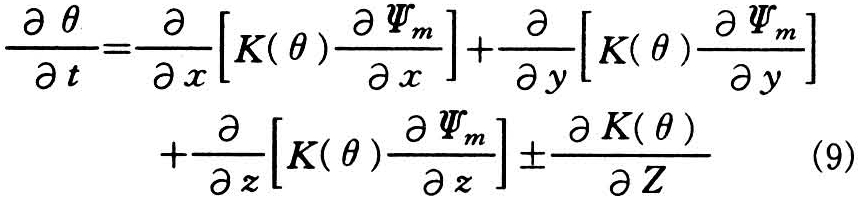
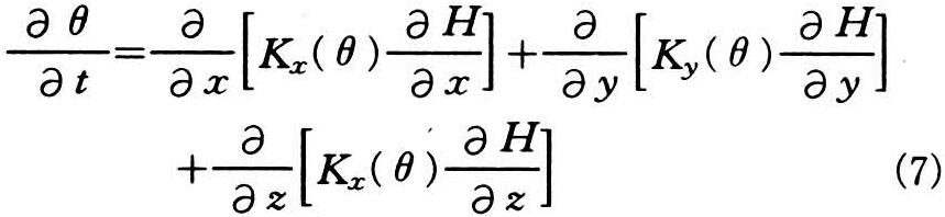
将非饱和流达西定律q=-K(θ)▽H代入连续流方程,即可得非饱和流基本方程。

土壤水运动

展开:

土壤水运动

当用势梯度表示:

土壤水运动

当土壤为均一介质,各向同性,则Kx(θ)=Ky(θ)=Kz(θ)=K(θ)。对于非饱和流,总土水势Ψ由基质势Ψm重力势Ψz组成,取单位重量水势,则Ψ=Ψm±Z,将以上关系等代入(8)式,得下式:

土壤水运动

扩散型方程

把非饱和流基本方程中的水头梯度一维水平流动过程中,导水率K与含水量θ的对应变化呈平行关系,而基质势■■与θ及K关系并非如此(图2)。因此,有人采用复合函数方法改势梯度为含水量梯度。如非饱和流达西方程(水平流)原为

土壤水运动

是比水容量Cθ的倒数,因此用Cθ代入上式得:

土壤水运动

再将上式中-K(θ)/Cθ,换成一新参数D(称为扩散率)表示之,则上式可写成扩散型方程(这里借用Fick扩散定律中“扩散”一词):

图2 一维水平流的基质势Ψm、含水量θ和导水率K

土壤水运动

式中,扩散率D定义为,土壤非饱和导水率K(θ)与比水容量Cθ的比值。按相同方法,可把一系列土壤水非饱和流基本方程改成扩散型方程。该种数学处理只能用于均质土条件的非饱和流。因为含水量梯度测定较易,而测水头梯度则困难得多。

土壤水分运动基本方程的求解

应用数学物理方法定量地分析土壤水分运动,得出不少求解土壤水分运动的计算公式,通常为特定的初始条件与边界条件的偏微分方程。对它们的解析方法有:①可求得未知函数与自变量关系呈初等函数形式的解析解。也可求得未知函数与自变量关系为超越函数,它必须通过数值积分或迭代方法求得的半解析解。此法只适用于简单定解条件下土壤水分运动问题。②土壤非均质及复杂的初始条件与边界条件,求解析解很困难,一般多采用数值近似计算,其中有有限差分法和有限元法。前者是将偏微分方程变成差分方程,组成一系列可直接求解的代数方程组。有限元法是用简单的插值函数来代替每单元的未知函数分布,然后集合起来形成可以直接求解的代数方程组。以上的计算方法最后都要解几百道线性代数方程组,然而由于高速电子计算机的应用,使土壤水分运动计算已取得良好结果与进展。

水汽扩散

一般说来,水汽运动对土壤水分状况影响不大,但它与液态水处于动态平衡共存于孔隙中,在干燥土壤里液流小,水汽扩散成为土壤蒸发失水的主要途径。在田间条件下土壤空气中多是水汽饱和的。土壤水汽扩散服从以下扩散公式:

qv=-Dv∂ρv/∂x

式中:qv为容积扩散通量;Dv为水汽的扩散系数;ρv为气相中水汽密度(或浓度)。由于孔隙容积限制及孔隙的弯曲,土壤的Dv比大气的要低。实际影响水汽扩散的有水势、溶质在水中浓度、温度差等,其中重要的是温度差。如水的基质吸力从零增大到10兆帕,伴随的蒸气压差仅1.6百帕,但温度差效应就大多了。如水温由19℃增至20℃则水汽压增加1.33百帕,就是说温度差1℃几乎相当于水势由零增至10兆帕的效应。气态水通常是由土壤中温度高处向温度低处运动。由于土壤表面的温度在白天高于下层土层,而夜间则较低,所以气态水运动方向是白天向下,夜间向上。通常在湿润土壤中,温度差较小,液态水运动是主要形式。同时,在根系活动层的主要部分,如温度日变幅很小,则水汽扩散作用可忽略不计。